跳转至
xzqDocs
Chapter1 函数 连续 极限
正在初始化搜索引擎
Home
博客速记
工程技术
数学理论
计科理论
足迹
xzqDocs
Home
博客速记
博客速记
2025
2025
0612——win设置路由表实现内网外网同时访问
0613——MCU的存储空间的学习与探索
0625——ClassB 程序自检踩坑
0705——时隔两年,故地重游—初来宁波找工作的路线
0804——telink SDK二次开发 主设备向从设备写数据踩坑
1225——25年底的技术总结与思考
2026
2026
0102 —— a ^ b ^ b == a (Tsoding)
0320——JLink添加HC32 Patch后JFlash报错问题
0328——LSM6DSL六轴传感器欧拉角姿态解算记录
工作记录
工作记录
工作日志
求职经验
面试记录
工程技术
工程技术
Bluetooth LE
Bluetooth LE
BLE Protocol Stack
BLE Soc
C
C
Chapter0 GCC&编码规范
Chapter1 C标准库
Chapter2 C编程
Chapter3 C关键字
Chapter4 C预处理
经验累积
Linux
Linux
Chapter1 Linux操作入门
Chapter2 ARM裸机开发
Chapter3 Linux系统移植
Chapter4 Linux驱动开发
MCU
MCU
Chapter0 开发工具链
Chapter1 软件分层设计架构
Chapter2 状态机软件架构
Chapter3 事件驱动软件架构
Chapter9 MCU存储架构
IoT ESP32
Python
Python
Chapter0 包管理&环境管理
信号处理
信号处理
滤波算法
开发工具
开发工具
Git
VSCode
Windows
博客搭建
开源软件
开源软件
GUI—LVGL
RTOS—FreeRTOS
RTOS—RTThread
自动控制
自动控制
Chapter0 PID
Chapter1 三环串联控制
数学理论
数学理论
方法论概述
Linear Algebra
Linear Algebra
Gilbert Strang
高数笔记
高数笔记
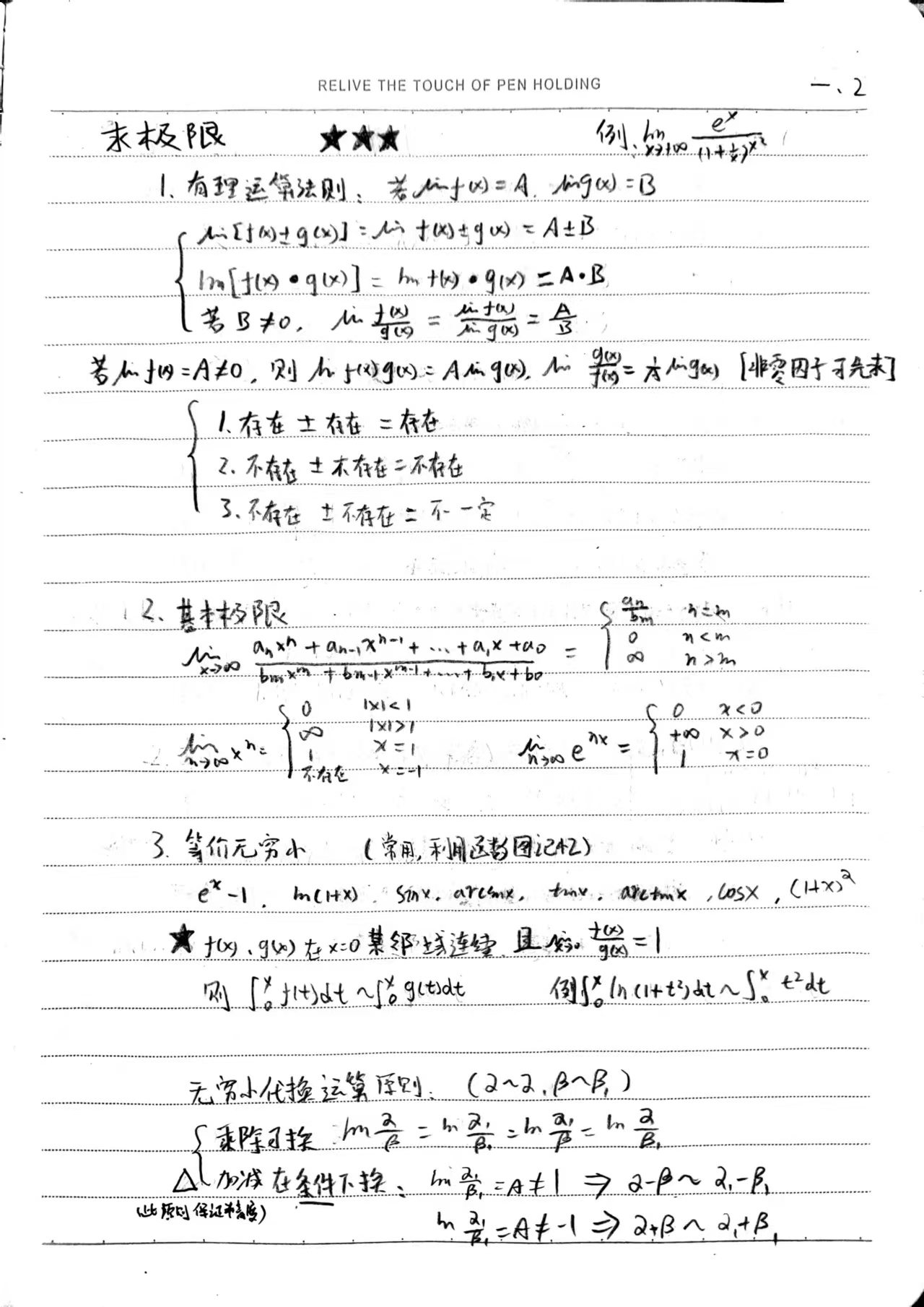
Chapter1 函数 连续 极限
Chapter1 函数 连续 极限
目录
1 函数
2 极限
3 连续
Chapter2 一元函数微分学
Chapter3 一元函数积分学
线性代数
计科理论
计科理论
操作系统
操作系统
操作系统理论
数据结构
数据结构
Chapter1 绪论
Chapter2 线性表
Chapter3 栈、队列和数组
Chapter4 串
Chapter5 树与二叉树
数据结构与算法
计算机网络
计算机网络
计算机网络理论
足迹
足迹
漂流地图
浙江
浙江
宁波
杭州
金华
目录
1 函数
2 极限
3 连续
Chapter1 函数 连续 极限
1 函数
2 极限
3 连续
回到页面顶部